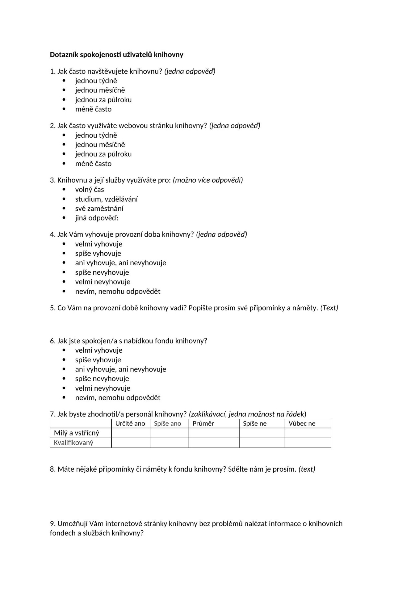
Dotazník pro čtenáře
📢 Pomozte nám zlepšit naši knihovnu! 📢
Vaše názory jsou pro nás důležité. Prosíme, věnujte pár minut vyplnění našeho dotazníku a pomozte nám vytvořit ještě lepší služby pro vás! Dotazník si vytiskněte a vyplněný přineste k nám do knihovny.
